定制研发 中文
secijrest
过程仪表

多孔平衡流量计

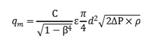
多孔平衡流量计是一种基于差压原理的高精度流量测量仪表,采用独特的多孔节流结构设计,每个孔的尺寸和分布基于独特的公式和数据定制。
0.051224s